Scientists Say: Calculus
Calculus is math that helps us understand changes
Calculus is a branch of math that deals with how things change — which helps us better understand everything from the motions of planets to the spread of disease.
traffic_analyzer/Getty Images
Share this:
- Share via email (Opens in new window) Email
- Click to share on Facebook (Opens in new window) Facebook
- Click to share on X (Opens in new window) X
- Click to share on Pinterest (Opens in new window) Pinterest
- Click to share on Reddit (Opens in new window) Reddit
- Share to Google Classroom (Opens in new window) Google Classroom
- Click to print (Opens in new window) Print
Calculus (noun, “KALK-yoo-luss”)
Calculus is a type of math. Specifically, it is math that deals with change. It was invented in the 17th century by two separate thinkers. One was German mathematician Gottfried Leibniz. The other was the English physicist Isaac Newton.
There are two branches of calculus. The first is “differential” calculus. This math is used to determine how much something is changing at a given time or place. For instance, it can be used to find how much a curved line is pointing up or down at any spot along that line. The second branch is “integral” calculus. This math is used find quantities based on their rate of change. For instance, it can be used to find the area under a line whose curvature is known.
Say, for example, that you make a graph plotting a car’s speed over time. As the car drives, it changes its speed. It speeds up as it sets off down the road. And it slows down as it approaches a stoplight. When you plot the car’s changing speed, the line on your graph will wiggle up and down. Differential calculus will tell you how much that wiggling line is pointed up or down at any given spot. That is, it will tell you how much the car’s speed is changing (its acceleration) at any given point in time.
Integral calculus, meanwhile, will help you find the area under that wiggling line. And the area under a line plotting speed over time is equal to the total distance traveled. So, with calculus, you can use a plot of a car’s speed over time to find the total distance the car has driven.
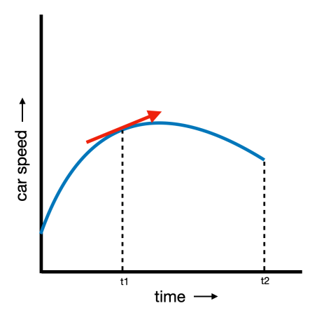
Car speed over time

Here, the blue line plots a car’s speed over time, as the car speeds up and then slows down. Differential calculus can help you find the slope of the blue line at any point in time. That slope shows how much the car’s speed is changing at that moment. For example, the red arrow shows how much the car’s speed is changing at moment “t1.” Integral calculus can help you find the area under the blue line. That area is equal to the total distance the car has traveled. For instance, the area under the blue line between “t1” and “t2” is the distance the car drove between those two moments.
Calculus is a powerful tool that can describe many things. The orbits of planets around the sun. The total pressure behind a dam where water is rising. How fast diseases spread. Calculus can be applied to most anything that is changing over space or time.
In a sentence
Calculus can be used to find the volume of even complexly shaped objects, such as icicles.