Analyze This: Seasonal hurricane costs have been rising sharply
Data tell the stories of hurricanes past
This map shows the paths of hurricanes in the Atlantic Ocean from 1851 through 2015, and in the eastern Pacific Ocean from 1949 through 2015.
NOAA
Share this:
- Share via email (Opens in new window) Email
- Click to share on Facebook (Opens in new window) Facebook
- Click to share on X (Opens in new window) X
- Click to share on Pinterest (Opens in new window) Pinterest
- Click to share on Reddit (Opens in new window) Reddit
- Share to Google Classroom (Opens in new window) Google Classroom
- Click to print (Opens in new window) Print
Hurricanes are dramatic and dangerous. They also can cause billions of dollars in damage to property. By examining data from past hurricane seasons, people can see if trends on hurricanes might be worsening. A century of such data on the Atlantic hurricane season now confirms that hurricanes and their impacts have been changing. Big time.
These tropical cyclones are huge swirling storm systems with strong winds and heavy rains. They form over the ocean. The National Oceanic and Atmospheric Administration (NOAA) collects data about tropical cyclones the world over. Why? Scientists study past storms so that they can better predict and understand future storms — and prevent some of this damage. Although the basics of how and why hurricanes form are known, there is still much to learn from data on individual hurricanes and season-wide trends.
Of particular interest to NOAA are those cyclones in the northern Atlantic, which threaten the East Coast of the United States. Big ones that develop here are known as hurricanes. To officially qualify, such a storm must have wind speeds greater than 119 kilometers (74 miles) per hour. Currently, the Atlantic hurricane season runs from June 1 to November 30. The cost of the damage created by these storms tends to relate to how built up (how many buildings) a storm ravages.
And over the past century, U.S. coastal areas have become much more populated. So hurricanes that blow through these regions run the risk of causing greater damage. But are there data to confirm that? Here we get a chance to find out.
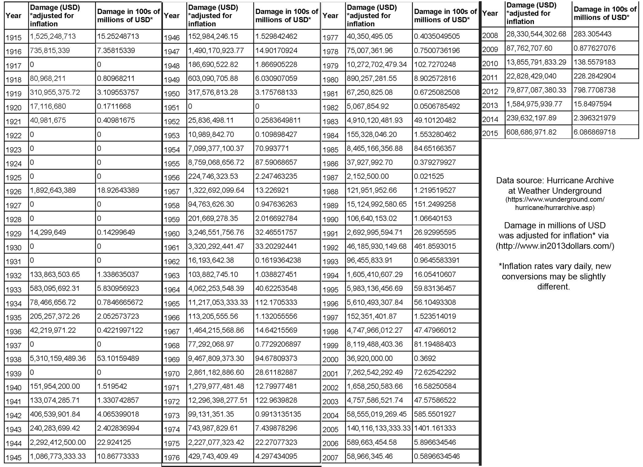
The graph below tracks how many major hurricanes made landfall on the East Coast of the United States. Major hurricanes are those storms that reach category 3 or higher on the Saffir-Simpson Hurricane Wind Scale. These will have sustained wind speeds greater than 178 kilometers (111 miles) per hour. The data behind the graph come from the Hurricane Archive at Weather Underground. It’s a weather-forecasting website. (Here is a table of the data used to compile the graph below.)

The number of major hurricanes per season tells only part of the story on the risks that such storms pose. Damage estimates for each season (as measured in U.S. dollars) is another way to track their impacts. This graph shows estimates for the past 100 years for damage along the U.S. East Coast, as well as the Caribbean and the Yucatan Peninsula in Mexico. (Here is a table of the data used to compile the graph below.)

Data Dive:
1. Describe the trends over time shown in this graph, in terms of how much damage hurricanes are doing?
2. Using the graph (and data table) examine the three most expensive hurricane seasons since 1980. By what percentage were the second two most expensive hurricane seasons (2005 and 2012) greater than the 1992 season?
3. Even in seasons when there weren’t any major hurricanes, there still may be storm-related damage. Why could that be?
4. Is there a better way to show the data in these graphs? How might you graph these data differently?
Beyond the Data:
1. Read about and research the Atlantic hurricane season in 2005. What was behind the huge spike in damage that year?
2. After the 2017 hurricane season ends, what do you think the graph might look like going forward? (Hint: Look for patterns in successive 5-,10- or 25-year intervals.)
Analyze This! explores science through data, graphs, visualizations and more. Have a comment or a suggestion for a future post? Send an email to sns@sciencenews.org.